目錄 |
一、信用風險的界定 |
二、信用風險的識別 |
(一)單一法人客戶信用風險識別 |
(二)集團法人客戶信用風險識別 |
(三)個人客戶信用風險識別 |
(四)債權組合信用風險識別 |
三、信用風險的評估與計量 |
(一)信用風險的評估模型 |
(二)銀行類內部評級法 |
1、風險暴露分類 |
2、客戶評級 |
3、債項評級 |
4、緩釋工具 |
5、內部評級法的運用 |
(三)信用風險組合的計量 |
1、違約相關性 |
2、信用風險組合計量模型 |
(四)銀行信用風險資本計量 |
1、權重法 |
2、內部評級法 |
四、信用風險監測及報告 |
(一)信用風險監測 |
1、單一客戶風險監測 |
2、組合風險監測 |
(二)風險監測主要指標 |
1、風險監測指標體系 |
2、信用風險預警體系 |
(三)信用風險報告 |
四、信用風險控制與緩釋 |
(一)限額管理 |
1、客戶風險限額管理 |
2、區域風險限額管理 |
(二)組合限額管理 |
1、集中度限額 |
2、總體組合限額 |
(三)流程化管理 |
五、損失準備金與不良債權處置 |
(一)損失準備金 |
(二)不良債權處置 |
1、催收 |
2、法律追索 |
3、處置抵押物 |
4、債務重組 |
5、破產重整 |
6、不良債權轉讓 |
7、不良資產證券化 |
8、債轉股 |
一、信用風險的界定
信用風險是債務人或交易對手未能履行合同規定的義務或信用質量發生變化,從而給債權人造成經濟損失的風險。信用風險既存在于傳統的銀行類金融機構的貸款、債券投資的表內業務上,也存在于信用擔保,貸款承諾及衍生產品交易的表外業務中。信用風險分類如下:
一 | 基礎債權信用風險:基于正常債權債務關系形成的債權,因債務人無法償還債務而形成的信用風險 |
金融產品及衍生品信用風險:基于債權債務關系形成的基礎金融產品,及以此為基礎形成的衍生金融產品,因底層債務人違約而形成的信用風險。對基礎金融產品(如債券、貸款)而言,信用風險造成的損失最大是其債務的全面賬面價值,而對于衍生品,對手違約造成的損失雖然會小于衍生產品的名義價值,但由于衍生產品的名義價值十分巨大,市場價值隨著市場變化而波動 | |
二 | 法人客戶信用風險 |
個人客戶信用風險 | |
三 | 單一法人客戶信用風險 |
集團法人客戶信用風險 | |
四 | 單體信用風險 |
組合信用風險 |
二、信用風險的識別
(一)單一法人客戶信用風險識別
一 | 基本信息 |
對客戶提供身份證明,授信主體資格,財務狀況等資料的合法性、真實性和有效性進行認真核實。若債務久期較長,還需要對資金來源及使用情況、預期資產負債情況、損益情況、項目建設進度及營運計劃等做出預測和分析 | |
二 | 財務分析 |
通過對企業的經營成果、財務狀況以及現金流量的分析,達到評價企業經營管理者的管理業績、經營效率、進而識別企業信用風險的目的 1、財務報表分析 對資產負債表和損益表進行分析,有助于債權人深度了解客戶的經營狀況及經營過程中存在的問題。財務報表分析應主要識別和評價財務報表風險,經營管理狀況、資產管理狀況、負債管理狀況。財務報表分析關注如下內容: 一是識別和評價財務報表風險 主要關注財務報表的編制方法及其質量能否充分反映客戶數合計和潛在的風險 二是識別和評價經營管理狀況 通過分析損益表可以識別和評價公司的銷售情況、成本控制情況以及盈利能力 三是識別和評價資產管理狀況 主要包括資產質量分析、資產流動性(可變現程度)分析以及資產組合(庫存、固定資產投資)分析 四是識別和評價負債管理情況 主要分析資產負債期限結構 2、財務比率分析 一是盈利能力比率 用來衡量管理層將銷售收入轉換成實際利潤的效率,體現管理層控制費用并獲得投資收益的能力: 銷售毛利率=[(銷售收入—銷售成本)/銷售收入]×100% 銷售凈利率=(凈利潤/銷售收入)×100% 資產凈利率(總資產報酬率)=凈利潤/[(期初資產總額+期末資產總額)/2]×100% 凈資產收益率(權益報酬率)=凈利潤/[(期初所有者權益合計+期末所有者權益合計)/2]×100% 總資產收益率=凈利潤/平均總資產=(凈利潤/銷售收入)×(銷售收入/平均總資產) 二是營運能力比率 體現管理層管理和控制資產的能力: 存貨周轉率=產品銷售成本/[(期初存貨+期末存貨)/2]×100% 存貨周轉天數=360/存貨周轉率 應收賬款周轉率=銷售收入/[(期初應收賬款+期末應收賬款)/2] 應收賬款周轉天數=360/應收賬款周轉率 流動資產周轉率=銷售收入/[(期初流動資產+期末流動資產)/2] 總資產周轉率=銷售收入/[(期初資產總額+期末資產總額)/2] 資產回報率(ROA)=[稅后損益+利息費用(1—稅率)]/平均資產總額 凈資產收益率(ROE)=稅后損益/平均股東權益凈額 三是杠桿比率 衡量企業所有者利用自有資金獲得融資的能力,也用于判斷企業的償債資格和能力。杠桿比率主要有: 資產負債率=(負債總額/資產總額)×100% 有形凈值債務率=[負債總額/(股東權益—無形資產凈值)]×100% 利息償付比率(利息保障倍數)=(稅前凈利潤+利息費用)/利息費用=(經營活動現金流量+利息費用+所得稅)/利息費用=[(凈利潤+折舊+無形資產攤銷)+利息費用+所得稅]/利息費用 其中[(凈利潤+折舊+無形資產攤銷)+利息費用+所得稅]就是息稅前費用,也就是EBITDA。 四是流動比率 用來判斷企業歸還短期債務的能力,即分析當前的現金支付能力和應付突發事件與困境的能力: 流動比率=流動資產合計/流動負債合計 速動比率=速動資產/流動負債合計 3、現金流量分析 現金流是現金在企業的流進或流出,分為三個部分,分別是經營活動的現金流、投資活動的現金流和融資活動的現金流 經營活動的現金流,是除企業投資活動和籌資活動以外的所有交易和事項,其中,現金流入是銷售商品、經營租賃等所收到的現金;現金流出是購買貨物、接受勞務、制造產品、廣告宣傳、推銷產品、繳納稅款等所支付的現金 投資活動是企業長期資產端額構建和不包括在現金等價物范圍內的投資及其處置活動。其中現金流入主要是收回投資,包括分得股利、利潤或取得債權利息收入,處置固定資產、無形資產或其他長期資產收到的現金等。現金流出是構建固定資產、無形資產和其他長期資產所支付的現金,進行權益性或債券型投資等所支付的現金 融資活動是導致企業資本及債務規模和構成發生變化的活動,其資金流入是吸收權益性投資所收到的現金;現金流入是償還債務或減少注冊資本所支付的現金,發生籌資費用所支付的現金,分配股利、利潤或償付利息所支付的現金,融資租賃所支付的現金等 現金流量分析通常首先分析經營性現金流,關注經營活動現金流從何而來,流向何方,現金流是否為正值,現金流是否以滿足和應付重要的日常支付和還本付息,現金流的變化趨勢和潛在變化的原因是什么,其次分析投資活動的現金流,關注企業買賣房產、購置機器設備或資金租借,借款給附屬公司,或者買賣其他公司的股票等投資行為,最后分析融資活動的現金流,關注企業債務與所有者權益的增加或減少以及股息分配 | |
三 | 非財務因素分析 |
1、管理層風險分析 重點考核企業管理者的人品、誠信度、授信動機、經營能力及道德水準,內容主要包括:歷史經營記錄及其經驗,經營者相對于所有者的獨立性,品德與誠信度,影響其決策的相關人員的情況,決策過程,所有者關系及內控機制是否完備及運行是否正常,領導力量及中層主管人員的素質,領導的政策、計劃、實施與控制等 | |
2、行業風險分析 行業風險分析主要包括:行業特征及定位、行業成熟期分析、行業周期性分析、行業的成本及盈利性分析、行業依賴性分析、行業競爭及替代性分析、行業成功的關鍵因素分析、行業監管政策及有關環境分析 | |
3、生產與經營風險分析 主要表現為總體經營風險、產品風險、原料供應風險、生產風險以及銷售風險等 | |
4、宏觀經濟、社會及自然環境分析 具體包括經濟/法律環境、技術進步、環保意識增強、人口老齡化、自然災害等外部因素的發展變化,均可能對債務人的信用能力產生不同程度的影響 | |
四 | 擔保分析 |
1、保證 保證為保障債權的履行,保證人和債權人約定,當債務人不履行到期債權或發生當事人約定的情形時,保證人履行債務或承擔責任的行為。對于保證擔保實操關注要點: 一是保證人的資格,具有代償能力的法人、其他組織或公民可以作為保證人。根據《民法典》第683條規定,機關法人不得作為保證人,但經國務院批準為適用外國政府或國際經濟主張貸款進行轉貸的除外,以公益為目的的非營利法人、非法人組織不得為保證人 二是保證人的財務實力,保證人的財務狀況、現金流量、或有負債、信用評級以及保證人目前提供保證的數量和金額,都會影響保證人的償債能力 三是保證人的保證意愿,保證人是否愿意履行責任以及保證人是否完全意識到由此產生的一系列風險和責任 四是保證人的履約經濟動機及其與債務人之間的關系 五是保證的法律責任,保證分為連帶責任和一般保證兩種,由于類型的不同,保證人承擔的法律責任也不同,金融機構常常只接受連帶責任保證,即連帶責任保證的債務人不履行到期債務或發生當事人約定的情形時,債權人可以請求債務人履行債務,也可以請求保證人在其保證范圍內承擔保證責任 | |
2、抵押 抵押是指債務人或第三方不轉移對財產的占用,將財產作為債權的擔保。債務人不履行到期債務或發生當事人約定的實現抵押權的情形,債權人有權就該財產優先受償,債務人或第三人為抵押人,債權人為抵押權人,提供擔保的財產為抵押物,實操中關注事項:一是明確可以作為抵押品財產范圍和種類 二是抵押合同一般包括的條款(如被擔保責任的種類和數額;債務人履行債務的期限,抵押財產的名稱、數量等情況,擔保的范圍等) 三是抵押物所有權的轉移;四是抵押物登記;五是抵押權的實現 | |
3、質押 質押又被稱為動產質押,是指債務人或第三方將其動產移交債權人占有,將該動產移交債權人占有,將該動產作為債權的擔保,債務人不履行債務時,債權人有權依照法律以該動產折價或以拍賣、變賣該動產的價款優先受償。在動產質押中,債務人或第三方為出質人,債權人為質權人,移交的動產為質物,實操中質押擔保關注重點: 一是明確可以作為質物的動產/權利范圍及種類。如在應收賬款質押中,應收賬款是權利人因提供一定的貨物,服務或設施而獲得的要求義務人付款的權利以及依法享有的其他付款請求權,包括現有的和未來的金錢債權,但不包括因票據或其他有價證券而產生的付款請求權,以及法律、行政法規禁止轉讓的付款請求權。具體應包括:銷售、出租產生的債權(如銷售貨物,供應水電氣暖,知識產權許可使用,出租動產或不動產等);提供醫療、教育、旅游等服務或勞務產生的債權;能源、交通運輸、水利、環境保護、市政工程等基礎設施和公用事業項目收益權;提供貸款或其他信用活動產生的債權;其他以合同為基礎的具有現金給付內容的債權 二是質押合同一般應包括的條款(被擔保主債權的種類和數額;質物的名稱、數量、質量、狀況;質物的移交時間)質權人對質物擔保的權利、義務和責任;權利質押的生效及轉讓;債務履行期屆滿時質物的處理等 | |
4、留置 留置是指債權人按照合同約定占有債務人的動產,債務人不按照合同約定的期限履行債務的,債權人有權依照了法律規定留置該財產,以該財產折價或以拍賣該價款的財產優先受償。留置擔保的范圍包括主債權及利息、違約金、損害賠償金、留置物保管費用和實現留置權的費用。留置這一擔保形式,主要用于保管合同、運輸合同、加工承攬合同等主合同 | |
5、定金 定金是指當事人可以約定一方向對方給付定金作為債權的擔保。債務人履行債務的,定金應當抵作價款或收回。給付定金的一方不履行債務或履行債務不符合約定,致使不能實現合同目的的,無權請求返還定金;收受定金的一方不履行債務或履行債務不符合約定,致使不能實現合同目的的,應當雙倍返還定金 |
(二)集團法人客戶信用風險識別
一 | 集團客戶的界定 |
集團客戶應具備如下特征: 一是一方在股權上或經營決策上直接或間接控制另一方或被另一方控制 二是兩方共同被第三方控制 三是一方主要投資者個人、關鍵管理人員或其親屬(包括三代以內直系親屬關系和二代以內旁系親屬關系)直接或間接控制另一方 四是存在其他關聯關系,可能不按公允價格原則轉移資產和利潤,應視同集團客戶管理。金融機構識別集團客戶時,對于不受大額風險暴露監管要求約束的主體,如果兩個客戶同時受其控制,但客戶之間不存在控制關系,可以不認定為集團客戶 綜上,可結合《企業會計準則第33號——合并財務報表》規定的而控制關系判斷標準,根據實質重于形式的原則,識別確定單一集團法人客戶的范圍 | |
二 | 集團法人客戶風險特征 |
一是基于內部同意管理和控制的需要,或通過關聯交易規避監管及粉飾財務報表的需要,進行內部關聯交易 二是采用連環擔保的方式進行融資,會導致信用風險通過擔保鏈條在企業內部循環傳遞、放大,將會出現擔保不足或沒有實質擔保的情況 三是真實財務狀況難以掌握。企業集團可以根據需要調節合并報表的關鍵數據,如合并報表與與融資主體報表不分,制作合并報表未提出集團關聯企業之間的投資款項;夸大融資主體資產、銷售收入和利潤;母公司財務報告為披露關聯方之間的關聯交易、相互擔保的情況等,導致金融機構很難掌握集團客戶全貌 四是系統性風險較高,為追求規模效應,部分企業集團利用其控股地位調動關聯方資金,并利用集團規模優勢進行融資,過度負債、盲目投資,涉足不熟悉的領域,隨著業務擴張,巨額資本形成很長的資金鏈條在不同關聯方之間流轉,一旦資金鏈條中的某一環節斷裂,就可能引發多米諾骨牌式崩潰,引發系統性風險并造成嚴重的信用風險損失 五是風險識別難度更大,集團法人客戶經營規模大,結構復雜,金融機構很難在短時間內對其經營狀況作出準確評價,跨業、跨區域經營成為常態,增加存續期管理難度 | |
三 | 基本識別分析 |
參照單一法人客戶信用風險分析方法,對集團法人客戶的基本信息、經營狀況、財務狀況、非財務因素及擔保狀況等進行逐項分析,以識別其潛在的信用風險。具體操作上,將結合集團客戶的特點進行分析: 一是充分利用內外部信息系統,及時全面收集、調查、核實客戶及其關聯方的相關信息 二是與客戶建立金融業務時,要求其提供真實、完整的信息資料,包括客戶法定代表人、實際控制人、注冊地、注冊資本、主營業務、股權結構、高級管理人員情況、財務狀況、重大資產項目、擔保情況和重要訴訟情況等,以有審計資格的機構審計過的財務報表為基礎,通過各種方式獲得第一手材料,必要時可以通過公證機構對相關資料的真實性予以公證 三是識別客戶關聯關系時,應重點關注客戶的注冊資金,股權分布,股權占比的變更情況,通過間接持股方式形成關聯關系,通過非股權投資方式形成的隱性關聯關系,客戶核心資產重大變動及其凈資產的10%以上的變動情況,客戶對外融資、大額資金流向、應收賬款情況,客戶主要投資者、關鍵管理人員及其密切親屬的個人信用記錄 四是集團法人客戶的識別頻率與融資服務的周期應保持一致 五是在定期識別期間,集團法人客戶的成員單位若發生產權關系變動,導致其與集團的關系發生變化,應及時匯總有關信息并在集團法人客戶信息資料庫中作出相應的調整 六是對集團法人客戶的架構圖必須每年進行更新 | |
四 | 關聯交易分析 |
關聯交易是發生在集團內關聯方之間同有關轉移權利或義務的事項安排。關聯方是指在財務和經營決策中,與他方之間存在直接或間接控制關系或重大影響關系的企事業法人。國家控制的企業間不應當因僅僅被國家控制就被認定為關聯方。根據企業關聯關系的不同,企業集團可以分為縱向一體化企業集團和橫向多元化企業集團: 縱向一體化企業集團的關聯交易主要集中在上游企業為下游企業提供半成品作為原材料,以及下游企業再將產成品提供給銷售公司銷售。分析這類企業的關聯交易,一方面可以將原材料的內部轉移價格與原材料的市場價格相比較,判斷其是否通過轉移價格操縱利潤;另一方面可能根據上游企業應收賬款和下游企業存貨的多少,判斷下游是否通過購入大量不必要的庫存以使上游企業獲得較好的賬面利潤或現金流,獲得更好的融資便利 橫向多元化企業集團,針對這類企業內部的關聯交易主要是集團內部企業之間存在的大量資產重組、并購、資金往來以及債務重組。如母公司先將現有資產進行評估,然后再以低于評估價格轉售給上市子公司;子公司通過配股、增發等手段進行再融資,并以所購資產的溢價作為投資收益。最終的結果是母公司從上市子公司中套取現金,子公司獲取額外投資收益,虛增資產及利潤,改善賬面盈利能力,降低負債比率,同樣可以獲得更好的融資便利,對于這類關聯交易,應當重點考察交易對雙方利潤和現金流造成的直接影響,判斷是否屬于正常交易 | |
分析企業集團內關聯交易時,首先應全面了解集團股權結構,找到企業集團的最終控制人和所有關聯方,然后對關聯方之間的交易是否屬于正常交易進行判斷,尤其是碰到如下情況應做重點分析: 一是與無正常業務關系的單位或個人發生重大交易 二是進行價格、利率、租金及付款等條件異常的交易 三是與特定客戶或供應商進行大額交易 四是進行實質與形式不符的交易 五是進行易貨交易 六是進行明顯缺乏商業理由的交易 七是發生處理方式異常的交易 八是資產負債表日前后發生的重大交易 九是互為提供擔保或連環提供擔保 十是存在有關控制權的秘密協議 十一是除股本權益性投資外,資金以各種方式供單位或個人長期使用 |
(三)個人客戶信用風險識別
一 | 基本信息風險識別 |
個人客戶的特點是單筆業務資金規模小但數量多,金融機構在個人客戶的信用風險進行識別和分析時,同樣需要個人客戶提供各種證明個人年齡、職業、收入、財產、信用記錄、教育背景等相關資料。處理關注申請人提交的資料是否齊全,要素是否符合金融機構的要求外,還應當通過與融資人面談、電訪訪談、實地考察等方式,了解/核實融資人及保證人、出質人、抵質押人的身份證件是否真實、有效,擔保材料是否齊全并符合監管部門和金融機構內部有關規定,融資人提供的居住情況、婚姻情況、家庭情況、聯系電話等是否真實,融資人的職業情況、所在單位的任職情是否真實,盡可能的從多種渠道調查,識別個人客戶潛在的信用風險。 1、融資人資信情況調查 以外部公開數據為佐證,關注融資人的第一還款來源。主要收入來源為工資收入的,應對其收入水平及證明材料的真實性作出判斷;主要收入來源為其他合法收入的,應檢查其提供的財產情況(如租金收入證明、房產證、商業銀行存單、有現金價值的保單等) 2、融資人的資產負債情況的調查 確認融資人及家庭的人均月收入和年薪收入情況,調查其他可以變現的資金情況,調查借款人在各類金融機構的其他負債或擔保,家庭負債總額與家庭收入的比重情況等;分析融資人及其家庭收入的穩定性,判斷其是否具備良好的還款意愿和還款能力 3、融資用途及還款來源的調查 調查融資人的融資用途與所申請的金融產品的相關規定相一致;還款來源是否有效落實并足以履約 4、對擔保方式的調查 融資人是否以價值穩定、易變現的財產作為抵質押物;融資人是否能按照金融機構的要求,為其所購買商品辦理財產保險等 | |
二 | 個人住房按揭貸款風險分析 |
1、假按揭風險 表現在開發商不具備按揭合作主體資格,或者未與金融機構簽訂按揭貸款業務合作協議,未有任何承諾,與某些不法之徒相互勾結、以虛假銷售方式套取商業銀行按揭貸款;以個人住房按揭貸款名義套取企業生產經營用的貸款;以個人住房貸款方式參與不具真實、合法交易基礎的商業銀行債權置換或企業重組;信貸人員與企業串謀,向虛擬借款人或不具備真實購房行為的借款人發放高成數的個人住房按揭貸款;所有借款人均為虛假購房,有些身份和住址不明;開發商與購房人串通,規避不允許零首付的政策限制。如將實際售房提高一定比例,再將此虛假售價寫入售房合同中,然后購房人出具收到收付款的收據,雙方按照售房合同規定的的虛假售價,依商業銀行要求的按揭成數辦理貸款手續,采取這種假按揭的方式,購房人事實上未向開發商支付收付款,而銀行需要向購房人提供售房總價100%的借款 2、房產價值下跌導致超額押值不足的風險 房地產行業發展周期以及政府宏觀調控政策對房地產市場價格的影響,會導致按揭貸款的借款人所購房產的價值波動;如果借款人所購房產的價值下跌,就可能產生超額押值不足的風險 3、借款人的經濟狀況變動風險 住房按揭貸款有不同的期限,期限越長,借款人經濟變化狀況的可能性就越大,如由于工作崗位、身體狀況等因素導致借款人經濟狀況出現不利變化而無法按期償還按揭貸款,而借款人是以其住房作為抵押的,則商業銀行的抵押權益在現行法律框架難以實現,該筆貸款就會變成不良貸款 | |
三 | 其他個人零售貸款的風險分析 |
其他個人零售貸款包括個人消費貸款(含個人汽車消費貸款)、個人經營貸款、信用卡消費貸款、助學貸款等多種方式,其風險主要表現在如下幾個方面 一是借款人的真實收入狀況難以掌握,尤其是無固定職業者和自由職業者; 二是借款人的償債能力有可能不穩定(如職業不穩定的借款人、面臨就業困難的大學生等) 三是貸款購買的商品質量有問題或價格下跌導致消費者不愿履約 四是抵押權益實現困難 五是個人生產或銷售活動失敗,資金周轉發生困難 |
(四)債權組合信用風險識別
一 | 債權組合相關性分析 |
貸款組合內的各筆單筆債權之間通常存在一定的相關性,若信用風險隨著風險因素的變化而同升同降,則兩筆債權正相關,即同時發生風險損失的可能性比較大;若兩筆債權負相關,相加的整體風險小于單個債權的信用風險,將債權資產分散在相關性較小或負相關的不同領域,有助于降低金融機構債權組合的整體風險 | |
二 | 債權組合風險關鍵因素 |
1、宏觀經濟因素 系統性風險對債權組合的信用風險的影響,主要是由宏觀經濟因素的變動反映出來,當宏觀經濟因素發生不利變動時,有可能導致債權組合中所有債務人的履約能力下降并造成信用風險的損失,因此,對債務人所在地的宏觀經濟因素進行持續監測,分析及評估,已成為債權組合的信用風險識別和分析的重要內容 2、行業風險 行業風險是當某些行業出現產業結構調整或原材料價格上升或競爭加劇等不利變化時,債權組合中處于這些行業的債務人可能因履約能力整體下降而給金融機構造成系統性信用風險損失 3、區域風險 區域風險是當某個特定區域的政治、經濟、社會等方面出現不利變化時,債權組合中處于該區域的債務人可能因履約能力的整體下降給金融機構造成系統性信用風險損失。區域風險識別應重點關注如下內容: 一是客戶是否過度集中于某個區域 二是金融業務及客戶集中地區的經濟狀況及其變動趨勢,如區域的開放度、區域主導產業的擴張、持平或衰退,區域經濟整體的上升或下降 三是金融業務及客戶集中地區的地方政府相關政策及其適用性,如地方政府提出的產業發展規劃與當地自然資源、交通條件的實用性等 四是金融機構客戶集中地區的信用環境和法律環境出現改善或惡化 五是政府及金融監管部門對客戶集中度地區的發展政策、措施是否發生變化,如果變化是否造成地方優惠措施難以執行,及其變化對金融機構業務的影響 |
三、信用風險的評估與計量
(一)信用風險的評估模型
專家判斷法 | 依賴專業人士自身的專業知識、技能和豐富經驗,運用各種專業性分析工具,在分析評價各種關鍵要素基礎上依據主觀判斷來綜合評定信用風險的分析系統 常用的專家系統是企業信用分析的5Cs系統,即品德(信譽)、資本(杠桿率)、還款能力、抵押、經營環境 |
關注與債務人有關的因素: 一是聲譽,債務人的聲譽:個人關注工作作風、生活方式和品德;企業關注負責人品德、經營管理水平、資金運用情況、經營穩健性及償還意愿 二是杠桿,債務人的杠桿或資本結構,即資產負債比率對債務人違約概率的影響 三是收益波動性,收益波動性高的企業更容易違約 | |
關注與市場有關的因素: 一是經濟周期 二是宏觀經濟政策,如果政府對某些行業采取限制發展的措施,這些行業的而企業信用風險就會較高 三是利率水平,高利率水平表示央行正在實施緊縮的貨幣政策,在該貨幣政策下,所有企業的違約風險都會有一定程度的提高 | |
信用評分模型 | 信用評分模型是利用可觀察到的債務人特征變量計算出一個數值來代表債務人的信用風險,并將債務人歸類于不同的風險等級,對個人而言,可觀察到的特征主要包括收入、資產、年齡、職業以及居住地等,對于企業而言,包括現金流量和各種財務比率等 信用評分模型的關鍵在于特征變量的選擇和各自權重的確定。信用評分模型是金融機構分析債務人信用風險的主要方式之一,在使用中存在部分問題,一是信用評分模型是建立在歷史數據(而非當前市場數據)模擬的基礎上,回歸方程中各個特征變量的權重在一定時間內保持不變;二是對歷史數據要求較高,需要建立歷史數據的數據庫 |
實操層面可設計評分卡方式對客戶進行準入和核定,即采用履約能力、信用狀況等非財務信息作為主要內容,結合財務報表的定量數據進行綜合評價,以更準確的反映中小企業的實際經營情況 | |
違約概率模型 | 違約概率模型是現代信用風險計量方法,主要應用于信用風險內部評級法。違約概率模型能夠直接估計客戶的違約概率 |
邏輯回歸模型 是建立在違約概率(PD)模型的主流方法之一,該方法采用一組財務指標作為解釋變量來預測債務人的違約概率。違約回歸模型的基本原理是債務人違約發生或不發生,因此模型的因變量的取值是0和1的二值變量,不要求樣本數據滿足正態分布,自變量和因變量之間不為線性關系,邏輯回歸模型可以將違約概率與自變量建立起聯系,將客戶的違約概率表示為P,則正常的概率為1-P,因此模型可以表示為: ![]() 由此可以推導出: 上述模型只有一個自變量,如果有多個自變量,以Σβixi代表現行組合β1x2+β1x2+……+βixi則多元回歸模型可以推出: 通過邏輯回歸擬合既可以求出公式的表達式,進而可以得到樣本對應的違約概率。邏輯回歸模型克服了一般線性回歸的異方差性,模型輸出結果可以直接解釋為違約概率,直接且易于理解,但其對數據依賴程度高,要求足夠的財務數據和違約樣本 | |
RiskCalc模型 是在傳統信用評分技術基礎上發展起來的一種適用于非上市公司的違約概率模型,其核心是通過嚴格的步驟從債務人信息中選擇出最能預測違約的一組變量,經過適當變換后運用邏輯回歸技術預測債務人的違約概率 | |
Credit Monitor模型 適用于上市公司的違約概率模型,其核心在于把企業與違約概率模型,其核心是把企業與金融機構的融資業務視為期權買賣關系,融資業務中信用風險信息因此隱含在這種期權交易之中,從而通過用期權定價理論求解除信用風險溢價和相應的違約率,即預期違約頻率(Expected Default Frequency,即EDF) | |
風險中性定價模型 風險中性定價模型的核心思想是假設金融市場中的每個參與者都是風險中立者,不論風險高低,只要資產的期望收益是相等的,市場參與者對其接受態度就一致,即風險中性范式 根據風險中性定價原理,無風險資產的預期收益與不同等級風險資產的預期收益是相等的,即: P1(1+K1)+(1-P1)×(1+K1)×θ=1+i1 P1為期限一年的風險資產的非違約概率;1-P1就是其違約概率,K1為風險資產的承諾利息,θ為風險資產的回收率,等于“1-違約損失率”,i1為期限1年的無風險資產的收益率 | |
死亡率模型 根據風險資產的歷史違約數據,計算在未來一定持有期內不同信用等級的客戶/債項的違約概率 |
(二)銀行類內部評級法
巴賽爾委員會鼓勵有條件的商業銀行使用內部評級的方法來計算違約概率(Probability of Default即PD)、違約損失率(Loss Given Default即LGD)、違約風險暴露(Exposure at Default即EAD),并據此計算信用風險監管資本,推動商業銀行信用風險內部評級體系和計量技術的發展。
1、風險暴露分類
風險分類一般分為如下幾類:主權類,金融機構類(含銀行類和非銀行類),公司類(含中小企業、專業貸款和一般公司),零售類(含個人住房抵押貸款、合格循環零售和其他零售),股權類和其他類(含購入應收款及資產證券化):
一 | 主權風險暴露 |
主權風險暴露是指對主權國家或經濟實體區域及其中央銀行、公共部門實體,以及多邊開發銀行,國際清算銀行和國際貨幣基金組織等的債權 | |
二 | 金融機構風險暴露 |
對金融機構的債權,根據金融機構不同屬性,可分為銀行類金融機構風險暴露和非銀行類金融機構風險暴露 | |
三 | 公司風險暴露 |
金融機構對公司、合伙制企業和獨資企業及其他非自然人的債權,但不包括對主權、金融機構和納入零售風險,暴露的企業的債權。根據債務人類型及其風險特征,公司風險暴露細分為中小企業風險暴露、專業貸款風險暴露和一般公司風險暴露: 一是中小企業風險暴露是商業銀行對年營業收入(近三年營業收入的算術平均值)不超過3億元人民幣企業的債權 二是專業貸款風險暴露。公司風險暴露中同時具有如下特征的債權:債務人通常是一個專門為實物資產融資或運作實物資產而設立的特殊目的實體;債務人基本沒有其他實質性資產或業務,除了從被融資資產中獲得的收入外,沒有獨立償還債務的能力;合同安排給于貸款銀行對融資形成的資產及其所產生的收入有相當程度的控制權 三是一般公司風險暴露是指中小企業風險暴露和專業貸款之外的其他公司風險暴露 | |
四 | 零售風險暴露 |
零售風險暴露應同時具有如下三方面特征:債務人是一個或幾個自然人;筆數多,單筆金額小;按照組合方式進行管理。零售風險暴露分為個人住房抵押貸款、合格循環零售風險暴露、其他零售風險暴露三大類: 一是個人住房抵押貸款是指以購買個人住房為目的并以所購房產為抵押的貸款 二是合格循環零售風險暴露是指各類無擔保的個人循環貸款。合格循環零售風險暴露中對單一客戶最大信貸余額不超過100萬元人民幣 三是其他零售風險暴露是指除個人住房抵押貸款和合格循環零售風險暴露之外的其他對自然人的債權。特別地,對于同時符合三個條件:企業符合國家相關部門規定的微型和小型企業認定標準;商業銀行對單家企業(或企業集團)的風險暴露不超過500萬元;商業銀行對單家企業(或企業集團)的風險暴露占本行信用風險暴露總額的比例不高于0.5%的微型和小型企業,可納入其他零售風險暴露 | |
五 | 股權風險暴露 |
股權風險暴露是指商業銀行直接或間接持有的股東權益。納入股權風險暴露的金融工具應同時滿足如下條件: 一是持有該項金融工具獲取收益的主要來源是未來資本利得,而不是隨時間所產生的收益 二是該項金融工具不可贖回,不屬于發行方的債務 三四對發行方資產或收入具有剩余索取權 | |
六 | 其他風險暴露 |
主要包括購入應收賬款和資產證券化風險暴露: 購入應收款風險暴露分為合格購入公司應收款和合格購入零售應收款 資產證券化風險暴露是指商業銀行因從事資產證券化業務而形成的表內外風險暴露,包括但不限于資產支持證券、住房抵押貸款證券、信用增級、流動性便利、利率或貨幣互換、信用衍生工具和分檔次抵補等 |
2、客戶評級
一 | 客戶評級的界定 |
客戶評級是金融機構對客戶償債能力和償債意愿的計量和評價,反映客戶違約風險的大小,通過信用等級和違約概率(PD)來體現。客戶評級的目的在于,有效區分違約客戶,并準確量化客戶違約風險,將估計的違約概率與實際違約頻率的誤差控制在一定范圍內 | |
二 | 違約的界定 |
當下列一項或多項事件發生時,債務人即被視為違約: 1、債務人對金融機構的債務逾期90天以上。若債務人違反了規定的透支限額或者重新核定的透支限額小于目前的余額,各項透支將被視為逾期。 2、除非采取變現抵(質)押品等追索措施,債務人可能無法全額償還對金融機構的債務。出現以下任何一種情況,銀行應將債務人認定為“可能無法全額償還對銀行的債務”:一是金融機構對債務人任何一筆債權停止計息或應計利息納入表外核算。二是由于債務人財務狀況惡化,金融機構核銷了債權或已計提一定比例的損失準備。三是金融機構將債權出售并承擔一定比例的賬面損失。四是由于債務人財務狀況惡化,金融機構同意進行消極重組,對借款合同條款作出非商業性調整。具體包括但不限于合同條款變更導致債務規模下降;因債務人無力償還而借新還舊;債務人無力償還而導致的展期。四是金融機構將債務人列為破產企業或類似狀態。五是債務人申請破產,或者已經破產,或者處于類似保護狀態,由此將不履行或延期履行償付銀行債務。六是金融機構認定的其他可能導致債務人不能全額償還債務的情況 3、如果某債務人被認定為違約,金融機構應對該債務人所有關聯債務人的評級進行檢查、評估其償還債務的能力。是否對關聯債務人實行交叉違約認定,取決于關聯債務人在經濟上的相互依賴和一體化程度。金融機構內部評級政策應明確對企業集團的評級方法,并確保一致的實施。如果內部評級基于整個企業集團,集團內任一債務人違約應被視為集團內所有債務人違約的觸發條件。如果內部評級基于單個企業而不是企業集團,集團內任一企業違約不必然導致其他債務人違約,金融機構應及時審查該企業的關聯債務人的評級,據此決定是否調整其評級 | |
三 | 違約概率 |
違約概率是指債務人在未來一定時期內發生違約的可能性。違約概率一般被具體定義為借款人內部評級1年期違約概率與0.03%中的較高者,其中0.03%是風險權重的下限。計算違約概率的1年期限與財務報表周期以及內部評級的最短時間完全一致,使監管當局在推行內部評級法時保持更高的一致性,而基于貸款期限就無法做到這一點。違約概率是實施內部評級法的商業銀行需要準確估計的重要風險要素,無論商業銀行是采用內部評級法初級法還是內部評級法高級法,都必須按照監管要求估計違約概率 | |
形成違約概率的工作步驟: 一是內部違約經驗。金融機構可使用內部違約經驗估計違約概率,前提是證明估計的違約概率反映了生成數據的評級體系和當前評級體系的差異。在數據有限或評級體系發生變化的情況下,金融機構應留出保守的、較大的調整余地 二是映射外部數據。將內部評級映射到外部信用評級機構或類似機構的評級,將外部評級的違約概率作為內部評級的違約概率。評級映射應建立在內部評級標準與外部機構評級標準可比,并且對同樣的債務人內部評級和外部評級可相互比較的基礎上。使用的外部評級量化風險數據應針對債務人的違約風險,而不反映債項的特征 三是統計違約模型。對任一級別的債務人,金融機構可使用違約概率預測模型得到的每個債務人違約概率的簡單平均值作為該級別的違約概率 |
3、債項評級
債項評級是對交易本身的特定風險進行計量和評價,反映客戶違約后估計的債項損失的大小,特定風險因素包括抵押、優先性、產品類別、地區、行業等。債項評級既可以只反映債項本身的交易風險,也可以同時反映客戶的信用風險和債項交易風險。客戶信用評級與債項評級是反映信用風險水平的兩個維度,客戶信用評級主要針對交易主體,其等級主要由債務人的信用水平決定,而債項評級是在假設客戶已違約的情況下,針對每筆債項本身的特點預測債項可能的損失率。由此,一個債務人通常只有一個客戶信用評級,而同一債務人的不同交易可能會有不同的債項評級。在實操層面,債項評級與債項的違約風險暴露(EAD)、違約損失率(LGD)、有效期限(M)密切相關。
一 | 違約風險暴露 |
違約風險暴露是指債務人違約時預期表內項目和表外項目風險暴露總額,包括已形成債權本金、應收未收利息、可能發生的相關費用等。如果客戶已經違約,則違約風險暴露為其違約時的債務賬面價值;如果客戶尚未違約,則違約風險暴露對于表內項目為債務賬面價值,對于表外項目為表外項目名義金額×信用轉換系數 | |
二 | 違約損失率 |
違約損失率是指估計的某一債項違約后損失的金額占該違約債項風險暴露的比例,即損失占風險暴露總額的百分比(損失的嚴重程度,LGD=1-回收率)。違約損失率應反映經濟衰退時期違約債項的損失嚴重程度,保證金融機構的違約損失估計值在所有可預見的經濟條件下都保持穩健和可靠。金融機構應制定識別不同產品和地區經濟出現衰退的標準、數據要求,判別經濟衰退對損失影響程度的方法以及違約損失率的計量方法等并加以實施。違約損失率估計應以歷史清償率為基礎,不僅依據對抵(質)押品市值的估計,同時應考慮到金融就可能沒有能力迅速控制和清算抵押品的現實情況 | |
違約損失率的估計和影響因素 違約損失率估計應基于經濟損失,包括由于債務人違約造成的較大的直接和間接的損失或成本,以及違約債項回收金額的時間價值、金融機構自身處置和清收能力對債權實現的影響: 一是直接損失或成本是指能夠歸結到某筆具體債項的損失或成本,包括本金和利息損失、抵押品清收成本或法律訴訟費用等 二是間接損失或成本是指因管理或清收違約債項產生的但不能歸結到某一筆具體債項的損失或成本,應采用合理方式分攤間接損失或成本 三是應將違約債項的回收金額折現到違約時點,以真實反映經濟損失,折現率需反映清收期間持有違約債項的成本。確定折現率時應考慮以下因素:如果回收金額是不確定的并且含有無法分散的風險,凈現值的計算應反映回收金額的時間價值以及與風險相適應的風險溢價。風險溢價應反映經濟衰退的情形。如果回收金額是確定的,凈現值計算只需反映回收金額的時間價值 | |
影響違約損失率的因素有多方面,主要包括: 一是項目因素。直接與債項的交易結構相關,反映了違約損失率的產品特性,具體包括通過風險緩釋措施(如償債順位、抵質押物、衍生品風險對沖)實現的信用風險的降低 二是公司因素。與債務人相關的因素,不包括其所在的行業特征。主要關注企業的融資杠桿率和企業融資結構下的相對清償優先性 三是行業因素。考察企業所處的行業對違約損失率的影響 四是地區因素。不同地區經濟發展水平、法律環境、社會誠信文化、金融機構管理水平對違約損失率的影響 五是宏觀經濟周期因素。穆迪評級公司債券數據的研究,經濟蕭條時期的債務回收率要比經濟擴張時期的回收率低1/3,經濟體系中的總體違約率代表經濟的周期性變化與回收率呈負相關 | |
計量違約損失率的方法: 1、市場價值法 通過資產的信用價差(Credit Spread)和違約概率推算違約損失率,其假設前提是市場能及時有效反映債券發行企業的信用風險變化,主要適用于已經在市場上發行并且可交易的大企業、政府、銀行債券。根據所采用的信息中是否包含違約債項,市場價值法又進一步細分為市場法(采用違約債項計量非違約債項LGD)和隱含市場法(不采用違約債項,直接根據信用價差計量LGD)。 2、回收現金流法 根據違約歷史清收情況,預測違約債項在清收過程中的現金流,并計算出LGD,即LGD=1-回收率=1-(回收金額-回收成本)/違約風險暴露 計量違約損失率應當注意:由于不同種類的債務人個體差異很大,加上樣本數據的來源較多,所有關于回收率方面的經驗研究結果都是示意性的;對于存在抵押品的債務,在估計違約損失率時,必須考慮到抵押品的風險緩釋效應,將有抵押品的和未獲抵押的風險暴露分開處理 | |
三 | 有效期限 |
有效期限是金融機構信用風險管理中需要獨立考慮的風險因素。在其他條件相同的情況下,債項的有效期限越短,信用風險就越小。針對不同類型的金融債權,其有效期限區別如下: 1、對有確定現金流安排的金融工具,其有效期限為:
其中,CFt為在未來t時間段內需要支付的現金流最小值 2、金融機構不能計算債項的有效期限時,應保守的估計期限。期限應等于債務人全部履行合約義務(本金、利息和手續費)的最大剩余時間 3、對凈額結算主協議下的衍生產品進行期限調整時,金融機構應使用按照每筆交易的名義金額加權的平均期限。對于某些短期交易,有效期限為內部估計的有效期限與1天中的較大值(主要包括原始期限1年以內全額抵押的場外衍生品交易、保證金貸款、回購交易和證券借貸。原始期限1年以內自我清償性的貿易融資,包括開立的和保兌信用證,以及一些原始期限3個月以內的短期風險暴露) |
4、緩釋工具
信用風險緩釋是指金融機構在計量信用風險時,運用合格的抵質押品、凈額結算、保證和信用衍生工具等方式轉移或降低信用風險。信用風險緩釋功能體現在違約概率(如保證的替代效果)、違約損失率(如抵質押和保證的減輕效果)或違約風險暴露(如凈額結算等)的下降。各類風險緩釋工具的要求如下:
一 | 合格抵質押品 |
合格抵質押品包括金融質押品、實物抵押品(應收賬款、商用房地產和居住用房地產)以及其他抵質押品。合格抵質押品的信用風險緩釋作用體現為違約損失率的下降。同時也可能降低違約概率,當債務人利用多種形式的抵(質)押品共同擔保時,需要將風險暴露拆分為由不同抵(質)押品覆蓋的部分,分別計算風險加權資產。拆分按金融質押品、應收賬款、商用房地產和居住用房地產以及其他抵(質)押品的順序進行,合格抵質押品的認定要求: 一是抵質押品應是《中華人民共和國民法典》規定可以接受的財產或權利 二是權屬清晰,且抵質押品設定具有相應的法律文件 三是滿足抵質押品可執行的必要條件,需經國家有關主管部門批準或辦理登記的,應按規定辦理相應手續 四是存在有效處置抵質押品的流動性強的市場,并且可以得到合理的質押品的市場價格 五是在違約、無力償還、破產或發生其他合同約定的信用事件時,金融機構能夠及時對債務人的抵質押品進行清算或處置 | |
金融質押品 1、以特戶、封金或保證金等形式特定化后的現金、黃金 2、銀行存單:我國財政部發行的國債;中國人民銀行發行的票據;我國政策性銀行、商業銀行發行的債券、票據和承兌的匯票;我國中央政府投資的公用企業發行的企業債券、票據和承兌的匯票 3、其他國家或地區主權以及由該國或地區監管當局認定為主權的公共企業所發行的BB-級及以上級別的債券;其他機構發行的BBB-級及以上級別的債券;評級在A-3/ P-3級及以上的短期債務工具 4、同時滿足以下條件的金融債券:銀行發行;交易所交易;具有優先債務的性質;具有充分的流動性;雖沒有外部評級,但發行人發行的同一級別債券外部評級為BBB-級或A-3/P-3級及以上的債券 5、公開上市交易股票及可轉換債券 6、依法可以質押的具有現金價值的人壽保險單或類似理財產品 7、投資于以上股票或債券的可轉讓基金份額,且基金應每天公開報價 | |
應收賬款: 原始期限不超過一年的財務應收賬款銷售、出租、提供服務產生的債權,不包括與證券化、從屬參與或與信用衍生工具相關的應收賬款 | |
商用房地產和居住用房地產: 1、依法有權處分的國有土地使用權及地上商用房、居民住房,不含工業用房 2、以出讓方式取得的用于建設商用房或居民住房的土地使用權 | |
其他抵(質)押品 除金融質押品、應收賬款、商用房地產、居住用房地產之外,經監管機構認可的符合信用風險緩釋工具認定和管理要求的抵(質)押品 | |
二 | 合格凈額結算 |
凈額結算可以讓交易主體只承擔凈額支付的風險。若沒有凈額結算條款,在交易雙方間存在多個交易時,守約方可能被要求在交易終止時向違約方支付交易項下的全額款項,但守約方收到違約方欠款的希望很小,因此,凈額結算的風險緩釋作用體現為違約風險暴露的下降 | |
合格凈額結算的認定要求: 1、可執行性:具有法律上可執行的凈額結算協議,無論交易對象是無力償還或破產,均可實施 2、法律確定性:在任何情況下,能確定同一交易對象在凈額結算合同下的資產和負債 3、風險監控:在凈頭寸的基礎上監測和控制相關風險暴露 | |
三 | 合格保證 |
合格保證應滿足的最低要求: 一是保證人資格應符合《中華人民共和國民法典》規定,具備代為清償債務本息能力。應書面規定保證人類型的認定標準和流程 二是保證應為書面的,且保證數額在保證期限內有效 三是保證必須為無條件不可撤銷的 四是應對保證人的資信狀況和代償能力等進行審批評估,確保保證的可靠性。保證人所在國或注冊國不應設有外匯管制;如果有外匯管制,應確保保證人履行債務時,可以獲得資金匯出匯入的批準 五是應加強對保證人的檔案信息管理,在保證合同有效期間,應定期對保證人的資信狀況和償債能力及保證合同的履行情況進行檢查。對保證人資信狀況和償債能力及保證合同履行情況的檢查應每年不少于一次 六是對關聯公司或集團內部的互保及交叉保證應從嚴掌握,具有實質風險相關性的保證不應作為合格的信用風險緩釋工具 七是采用信用風險緩釋工具后的風險權重不小于對保證人直接風險暴露的風險權重 | |
同一風險暴露由兩個以上保證人提供保證且不劃分保證責任的情況下,審慎起見,不應同時考慮多個保證人的信用風險緩釋作用,可選擇信用等級最好,信用風險緩釋效果最優的保證人進行信用風險緩釋處理 | |
四 | 信用衍生工具 |
信用衍生工具的范圍包括信用違約互換、總收益互換等,當信用違約互換和總收益互換提供的信用保護與保證相同時,可以作為合格信用衍生工具 | |
采用信用衍生工具緩釋信用風險需滿足的要求: 1、有法律確定性。信用衍生工具提供的信用保護必須是信用保護提供方的直接負債;如果信用衍生工具的結算要求信用保護購買者將基礎債項轉移給信用保護提供方,基礎債項的合同條款應明確這類轉移在什么情況下可以被拒絕;對于確定信用事件是否發生的主體身份應明確定義。信用保護購買者必須有權利和能力通知信用保護提供方信用事件的發生 2、可執行性。除非由于信用保護購買方的原因,否則合同規定的支付義務不可撤銷;在違約所規定的寬限期之前,基礎債項不能支付并不導致信用衍生工具終止;信用衍生工具基礎債項與用于確定信用事件的參照債項之間的錯配在以下條件下是可接受的:參照債項在級別上與基礎債項相似或比其等級更低,同時參照債項與基礎債項的債務人相同,而且出現交叉違約或債務加速到期情況時,在法律上是可執行的 3、評估。允許現金結算的信用衍生工具,應具備嚴格的評估程序,以便可靠地估計損失。評估程序應明確信用事件發生后得到基礎債項價值需要的時間 4、明確規定信用事件。未按約定在基礎債項的最終支付日足額履行支付義務,且在適用的寬限期屆滿后仍未糾正;債務人破產、資不抵債或無力償還債務,或書面承認無力支付到期債務以及其他類似事件;因本金、利息、費用的下調或推遲支付等對基礎債項的重組而導致的信用損失事件 |
5、內部評級法的運用
對單獨一項風險暴露存在多個信用風險緩釋工具時,應將風險暴露細分為每一信用風險緩釋工具覆蓋的部分,每一部分分別計算加權風險資產。如信用保護由一個信用保護者提供,但有不同的期限,也應細分為幾個獨立的信用保護。細分的規則應使信用風險緩釋發揮最大作用。
預期損失(EL)=違約概率(PD)×違約風險暴露(EAD)×違約損失率(LGD)
預期損失屬于債項成本的一部分,可以通過合理的債權定價和提取準備金等方式進行有效管理。
對于銀行類金融機構而言,內部評級法在信用風險管理政策制定、信貸審批、資本分配和公司治理等方面發揮重要作用。債務人或債項的評級結果是授信決策的主要條件之一,核心應用范圍包括:信貸政策的制定(基于債務人和債項的評級以及組合層面的評級結果,制定差異化的信貸政策,如行業、區域的準入政策、低等級債務人強制退出政策等);授信審批(明確規定將債務人或債項的評級結果作為是否給予授信,或是否準入的主要標準之一);限額設定(根據債務人或債項的評級結果,設置單一債務人或組合層面的風險暴露的限額);風險監控(對于不同評級結果的債務人或債項,采用不同監控手段和頻率)。風險報告(明確規定風險報告的內容、頻率和對象,至少按季度向董事會、高級管理層和其他相關部門或人員報告債務人和債項評級總體概況和變化情況)。
在高級應用范圍上,風險偏好的設定(具體包括但不限于內部評級、風險分池的結果以及風險量化的估計值是金融機構確定其風險偏好和制定風險戰略的基礎;風險偏好和風險戰略應由董事會審批);經濟資本的建模與管理(內部評級、風險分池的結果以及風險量化的估計值是銀行內部經濟資本計量模型構建的重要基礎和輸入參數的重要來源)。融資定價(風險量化的估計值應構成金融機構提供融資及投資定價的重要基礎)。損失準備計提(風險量化的估計值是金融機構損失準備計提的重要依據)。績效衡量和考核(將風險評級的結果明確納入績效考核政策,內部評級、風險分池的結果以及風險量化的估計值是計算風險調整后資本收益率的重要依據,并據此考核業務部門、分支機構和相關人員的經營績效)。推動風險管理基礎建設(內部評級、風險分池體系以及風險量化模型的開發和運用應有助于銀行加強相關信息系統建設、配置充分的風險管理資源以及審慎風險管理文化的形成)。
(三)信用風險組合的計量
1、違約相關性
違約的發生主要基于以下原因:債務人自身因素,如經營管理不善、出現重大項目失敗等;債務人所在行業或區域因素,如整個行業受到原材料價格上漲的沖擊,或某一地區發生重大事件;宏觀經濟因素,如GDP增長放緩、貸款利率上升、貨幣升值等。其中,行業或區域因素將同時影響同一行業或地區所有債務人違約的可能性,而宏觀經濟因素將導致不同行業之間的違約相關性。因此在計量單個債務人的違約概率和違約損失率之后,還應當在組合層面計量不同債務人或不同債項之間的相關性。
2、信用風險組合計量模型
由于存在風險分散化效應,投資組合的整體風險小于等于其所包含的單一資產風險的簡單加總。盡管市場風險組合模型的廣泛應用推動了信用風險組合模型的發展,但由于信用風險的收益分布與正態分布(市場風險管理的假設基礎)相差甚遠,信用風險組合模型的開發過程變得相當復雜。目前,國際上應用比較廣泛的信用風險組合模型包括Credit Metrics模型、Credit Portfolio View模型、Credit Risk+模型等。具體適用情形如下:
一 | CreditMetrics模型 |
模型本質上是一個VaR模型,目的是計算出在一定的置信水平下,一個信用資產組合在持有期限內可能發生的最大損失。通常,非交易性資產組合(如貸款以及一些私募債券)的價格不能夠像交易性資產組合(如股票)的價格一樣容易獲得,因此,非交易性資產組合的價格波動率(標準差)也同樣難以獲得。Credit-Metrics模型的創新之處正是在于解決了計算非交易性資產組合VaR這一難題 | |
二 | Credit Portfolio View 模型 |
模型直接將轉移概率與宏觀因素的關系模型化,然后通過不斷加入宏觀因素沖擊來模擬轉移概率的變化,得出I型中的一系列參數值。Credit Portfolio View模型可以看作 CreditMetrics模型的一個補充,因為該模型雖然在違約率計算上不使用歷史數據,而是根據現實宏觀經濟因素通過蒙特卡洛模擬計算出來,但對于那些非違約的轉移概率則還需要根據歷史數據來計算,只不過將這些基于歷史數據的轉移概率進行了調整而已。Credit Portfolio View模型比較適用于投機類型的債務人,因為該類債務人對宏觀經濟因素的變化更敏感 | |
三 | Credit Risk+模型 |
模型是根據針對火險的財險精算原理,對債權組合違約率進行分析,并假設在組合中,每筆債權只有違約和不違約兩種狀態。火險財險精算原理認為,投保火險的眾多家庭同時發生火災的概率是很小的,而且是相互獨立的。與此相類似,Credit Risk+模型認為,債權組合中不同類型的債權同時違約的概率很小且相互獨立,因此債權組合的違約率服從泊松分布。組合的損失分布會隨組合中貸款筆數的增加而更加接近于正態分布。在計算過程中,模型假設每一組的平均違約率都是固定不變的,而實際上,平均違約率會受宏觀經濟狀況等因素影響而發生變化。在這種情況下,貸款組合的損失分布會出現更加嚴重的“肥尾”現象 此外,金融機構還需要對信用風險進行壓力測試,采用定性與定量相結合的方法,測算在特定小概率事件等極端不利情況下各類債權資產可能發生的損失,分析這些損失對盈利能力和資本金帶來的負面影響并采取必要的控制措施 |
(四)銀行信用風險資本計量
1、權重法
權重法是指銀行將全部資產按照監管規定的類別進行分類,并采用監管規定的風險權重計量信用風險加權資產的方法。權重法下信用風險加權資產為銀行賬戶表內資產信用風險加權資產與表外項目信用風險加權資產之和。在計量各類表內資產的風險加權資產時,應該首先從資產賬面價值中扣除相應的減值準備,然后乘以各自的風險權重。在計量各類表外項目的風險加權資產的時候,應該將表外項目名義金額乘以信用轉換系數得到等值的表內資產,再按表內資產的處理方式計量風險加權資產。
一 | 現金類資產 |
現金:權重0% | |
黃金:權重0% | |
存放中國人民銀行款項:權重0% | |
二 | 對中央政府和中央銀行的債權 |
對我國中央政府的債權:權重0% | |
對中國人民銀行的債權:權重0% | |
對評級AA-級(含AA-級)以上的國家或地區的中央政府和中央銀行的債權:權重0% | |
對評級AA-級以下,A-級(含A-級)以上的國家或地區的中央政府和中央銀行的債權:權重20% | |
對評級A-級以下,BBB-級(含BBB-級)以上的國家或地區的中央政府和中央銀行的債權:權重50% | |
對評級BBB-級以下,B-級(含B-級)以上的國家或地區的中央政府和中央銀行的債權:權重100% | |
對評級B-級以下的國家或地區的中央政府和中央銀行的債權:權重150% | |
對未評級的國家或地區的中央政府和中央銀行的債權:權重100% | |
三 | 對我國公共部門實體的債權:權重20% |
對我國政策性銀行的債權(不包括次級債權):權重0% | |
持有我國中央政府投資的金融資產管理公司為收購國有銀行不良貸款而定向發行的債券:權重0% | |
對我國中央政府投資的金融資產管理公司的其他債權:權重100% | |
對我國其他商業銀行的債權(不包括次級債權)原始期限3個月以內:權重20% | |
對我國其他商業銀行的債權(不包括次級債權)原始期限3個月以內原始期限3個月以上:權重25% | |
對我國商業銀行的次級債權(未扣除部分):權重100% | |
對我國其他金融機構的債權:權重100% | |
四 | 對在其他國家或地區注冊的金融機構和公共部門實體的債權 |
對評級AA-級(含AA-級)以上國家或地區注冊的商業銀行和公共部門實體的債權:權重25% | |
對評級AA-級以下,A-級(含A-級)以上國家或地區注冊的商業銀行和公共部門實體的債權:權重50% | |
對評級A-級以下,B-級(含B-級)以上國家或地區注冊的商業銀行和公共部門實體的債權:權重100% | |
對評級B-級以下國家或地區注冊的商業銀行和公共部門實體的債權:權重150% | |
對未評級的國家或地區注冊的商業銀行和公共部門實體的債權:權重100% | |
對多邊開發銀行、國際清算銀行及國際貨幣基金組織的債權:權重0% | |
對其他金融機構的債權:權重100% | |
五 | 對一般企業的債權:權重100% |
六 | 對符合標準的微型和小型企業的債權:權重75% |
七 | 對個人的債權 |
個人住房抵押貸款:權重50% | |
對已抵押房產,在購房人沒有全部歸還貸款前,商業銀行以再評估后的凈值為抵押追加貸款的,追加的部分:權重150% | |
對個人其他債權:權重75% | |
八 | 租賃資產余值:權重100% |
九 | 股權 |
對金融機構的股權投資(未扣除部分):權重20% | |
被動持有的對工商企業的股權投資:權重400% | |
因政策性原因并經國務院特別批準的對工商企業的股權投資:權重400% | |
對工商企業的其他股權投資:權重1250% | |
十 | 非自用不動產 |
因行使抵押權而持有并在法律規定處分期限內的非自用不動產:權重100% | |
其他非自用不動產:權重1250% | |
十一 | 其他 |
依賴于銀行未來盈利的凈遞延稅資產(未扣除部分):權重250% | |
其他表內資產:權重100% |
表外項目信用轉換系數根據《商業銀行大額風險暴露管理辦法》調整:
一 | 等同于貸款的授信業務(如一般負債擔保、承兌匯票、具有承兌性質的背書及融資性擔保):信用轉換系數為100% |
二 | 貸款承諾 |
1、原始期限不超過1年的貸款承諾:信用轉換系數為20% | |
2、原始期限1年以上的貸款承諾:信用轉換系數為50% | |
3、可隨時無條件撤銷的貸款承諾:信用轉換系數為10% | |
三 | 未使用信用卡授信額度 |
一般未使用額度:信用轉換系數為50% | |
符合標準的未使用額度:信用轉換系數為20% | |
四 | 票據發行便利:信用轉換系數為50% |
五 | 循環認證便利:信用轉換系數為50% |
六 | 銀行借出的證券或用作抵押物的證券:信用轉換系數為100% |
七 | 與貿易直接相關的短期或有項目(與貿易直接相關的短期或有項目主要指有優先索償權的以裝運貨物做抵押的跟單信用證):信用轉換系數為20% |
八 | 與交易直接相關的或有項目(包括投標保函、履約保函、預付保函、預留金保函等):信用轉換系數為50% |
九 | 信用風險仍在銀行的資產銷售與購買協議(如資產回購協議或有追索權的資產銷售):信用轉換系數為100% |
十 | 遠期資產購買、遠期定期存款、部分交款的股權及證券:信用轉換系數為100% |
十一 | 其他表外項目: 信用轉換系數為100% |
《巴Ⅲ方案》對權重法的修訂
一 | 銀行風險暴露 |
銀行可采用外部評估法(ECRA)或標準評估法(SCRA)計算銀行風險暴露。外部評估法是根據外部評級結果,對應20%-150%五檔不同風險權重。標準評估法是根據銀行的償付能力和資本充足情況,將交易對手分成A、B、C三個等級,分別適用40%、75%和150%的風險權重 | |
二 | 房地產風險暴露 |
新設房地產風險暴露類型,根據LTV(貸款金額/押品價值)指標確定風險權重。具體分類包括:以居住用房地產為抵押的風險暴露,根據還款是否實質性依賴于房地產所產生的現金流再細分兩小類;以商業房地產為抵押的風險暴露,根據還款是否實質性依賴于房地產所產生的現金流再細分兩小類;土地收購、開發和建設風險暴露 | |
三 | 公司風險暴露 |
細分一般公司、投資級公司和中小企業三類,分別適用100%、65%和85%的風險權重 | |
四 | 表外貸款承諾 |
對無條件可撤銷貸款承諾的信用轉換系數(CCF)為10% 其他貸款承諾的信用轉換系統為40% | |
五 | 零售風險暴露 |
一般零售風險暴露為75%,其中對于符合條件(一年內未發生過逾期的)的信用卡為45% |
2、內部評級法
根據《商業銀行資本管理辦法(試行)》,內部評級法分為初級法和高級法。采用內部評級初級法的銀行應自行估計違約概率,違約損失率、違約風險暴露和有效期限等由監管部門規定。商業銀行采用內部評級法的,應當按照主權、金融機構、公司和零售等不同的風險暴露分別計算其信用風險加權資產,在計算時按照未違約風險暴露和違約風險暴露進行區分。
(1)未違約風險暴露的風險加權資產的計量
第一步,計算信用風險暴露的相關性(R)
①主權,一般公司風險暴露:

②金融機構風險暴露:

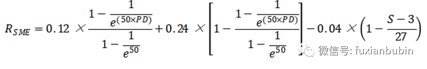
③中小企業風險暴露

其中,S為中小企業在報告期的年營業收入(單位為千萬元人民幣),低于3千萬元人民幣的按照3千萬元人民幣來處理。
④零售風險暴露
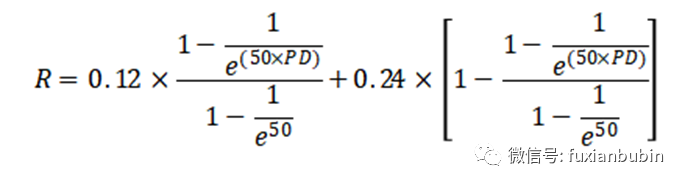
個人住房抵押貸款:Rr1=0.15
合格循環零售貸款:Rr2=0.04
其他零售貸款:

第二步:計算期限調整因子(b)
b=[0.11852-0.05478×ln(PD)]2
第三步:計算信用風險寶庫的資本要求(K)
①非零售風險暴露:

②零售風險暴露

第四步:計算信用風險暴露的風險加權資產(RWA)
RWA=K×12.5×EAD
(2)已違約風險暴露的風險加權資產的計量
K=max×[0,(LGD-BEEL)]
RWA=K×12.5×EAD
其中,BEEL是指考慮經濟環境,法律地位等條件下對已違約風險暴露的預期損失率的最大估計值。
商業銀行采用內部評級法計量信用風險資本,應建立能夠有效識別信用風險,具備穩健的風險區分和排序能力并準確量化風險的內部評級體系。
四、信用風險監測及報告
信用風險監測是指風險管理人員通過各種監控技術,動態捕捉信用風險指標的異常變動,判斷其是否已達到引起關注的水平或已經超過閥值。如果達到關注水平或超過閾值,就應當及時調整政策、優化資產組合結構、利用資產證券化等分散和轉移信用風險,將風險損失降到最低。有效的信用風險監測體系應實現確保金融機構了解融資人或交易對方當前的財務狀況及其變動趨勢;監測對合同條款的遵守情況;評估抵(質)押物相對債務人當前狀況的抵補程度以及抵(質)押物價值的變動趨勢;識別借款人違約情況,并及時對風險上升的授信進行分類;對已造成信用風險損失的授信對象或項目,迅速進入補救和管理程序。
(一)信用風險監測
1、單一客戶風險監測
一 | 基本面指標 |
1、品質類指標 包括但不限于融資主體的合規性、公司治理結構、經營組織架構、管理層素質、還款意愿、信用記錄等 2、實力類指標 包括但不限于資金實力、技術及設備的先進性、人力資源、資質等級、運營效率、成本管理、重大投資影響、對外擔保因素影響等 3、環境類指標 包括但不限于市場競爭環境、政策法規環境、外部重大事件、信用環境等 | |
二 | 財務指標 |
1、償債能力指標 包括營運資金、流動比率、速動比率、現金比率等短期償債能力指標和利息保障倍數、債務本息償還保障倍數、資產負債率、凈資產負債率、有息負債的息稅前盈利EBITDA、現金支付能力等長期償債能力指標 2、盈利能力指標 包括總資產收益率、凈資產收益率、產品銷售利潤率、營業收入利潤率、總收入利潤率、銷售凈利潤率、銷售息稅前利潤率、資本收益率、銷售成本利潤率、營業成本費用利潤率、總成本費用凈利潤率,以及上市公司的每股收益率、普通股權益報酬率、股利發放率、價格與收益比率等指標 3、營運能力指標 包括總資產周轉率、流動資產周轉率、存貨周轉率、應收賬款周轉率、固定資產周轉率等指標 4、增長能力指標 包括資產增長率、銷售收入增長率、利潤增長率、權益增長率等指標 |
2、組合風險監測
一 | 傳統組合監測方法 |
傳統的組合監測方法主要是對債權資產組合的 提供資金支持(含直接資金支持和在有關經濟活動中向第三方做包保證)的集中度和結構(包括行業、客戶、產品、區域等的資產質量、收益/利潤貢獻度等)進行分析監測,并依據風險管理的歷史經驗,給予各項指標一定權重,得出對資產組合風險判斷的綜合指標或指數 | |
二 | 資產組合模型 |
金融機構在計量每個暴露的信用風險,即估計每個暴露的未來價值概率分布的基礎上,計量組合整體的未來價值概率分布。通常有兩種方法: 一是估計各暴露之間的相關性,從而得到整體價值的概率分布。一般把暴露歸成若干類別,假設每一類別內的個體暴露完全相關。在得到各個類別未來價值的概率分布后,再估計風險類別之間的相關性,從而得到整體的未來價值概率分布 二是不處理各暴露之間的相關性,而把投資組合看作一個整體,直接估計該組合資產的未來價值概率分布。組合監測能夠體現多樣化投資產生的風險分散效果,防止國別、行業、區域、產品等維度的風險集中度過高,實現資源的最優化配置 |
(二)風險監測主要指標
1、風險監測指標體系
風險監測指標體系通常包括潛在指標和顯現指標兩大類,前者主要用于對潛在因素或征兆信息的定量分析,后者則用于顯現因素或現狀信息的量化。金融機構都會建立健全信用風險預警體系,密切監測分析重點領域信用風險的生成和遷徙變化情況,定期開展信用風險壓力測試。
以銀行類金融機構為例,其風險監測主要指標如下:
一 | 不良貸款率 |
不良貸款率為不良貸款與貸款總額之比,即 不良貸款率=[(次級類貸款+可疑類貸款+損失類貸款)/各項貸款余額]×100% | |
二 | 關注類貸款占比 |
關注類貸款占比=(關注類貸款/各項貸款余額)×100% 關注類貸款未來有一定的劣變可能,如果被作為銀行資產質量的緩沖手段之一則情況可能更為嚴重。關注類貸款余額增長、遷徙率提高,會對商業銀行的不良貸款率和不良貸款余額管控工作造成壓力。 | |
三 | 逾期貸款率 |
逾期貸款指借款合同約定到期(含展期后到期)未歸還的貸款(不含呆滯貸款和呆賬貸款)。 逾期貸款率=(逾期貸款余額/各項貸款余額)×100% 逾期貸款率從是否按期還款的角度反映貸款使用效益情況和信用風險程度,促進銀行對逾期貸款盡快妥善處理。實踐中更常采用“逾期90天以上貸款/不良貸款”這一比率,如果大于100%,意味著銀行可能在某種程度上隱藏或延遲了“不良貸款”生成 | |
四 | 貸款風險遷徙率 |
風險遷徙類指標衡量商業銀行信用風險變化的程度,表示為資產質量從前期到本期變化的比率,屬于動態監測指標 | |
1、正常貸款遷徙率 正常貸款遷徙率=[(期初正常類貸款中轉為不良貸款的金額+期初關注類貸款中轉為不良貸款的金額)/(期初正常類貸款余額-期初正常類貸款期間減少金額+期初關注類貸款余額-期初關注類貸款期間減少金額)]×100% 其中,期初正常類貸款(關注類貸款)中轉為不良貸款的金額,是指期初正常類貸款(關注類貸款)中,在報告期末分類為次級類/可疑類/損失類的貸款余額之和。期初正常類貸款(關注類貸款)期間減少金額,是指期初正常類貸款(關注類貸款)中,在報告期內,由于貸款正常收回、不良貸款處置或貸款核銷等原因而減少的貸款。 | |
2、正常類貸款遷徙率 正常類貸款遷徙率=[期初正常類貸款向下遷徙金額/(期初正常類貸款余額-期初正常類貸款期間減少金額)]×100% 期初正常類貸款向下遷徙金額,是指期初正常類貸款中,在報告期末分類為關注類、次級類、可疑類、損失類的貸款余額之和 | |
3、關注類貸款遷徙率 關注類貸款遷徙率=[期初關注類貸款向下遷徙金額/(期初關注類貸款余額-期初關注類貸款期間減少金額)]×100% 其中,期初關注類貸款向下遷徙金額,是指期初關注類貸款中,在報告期末分類為次級類、可疑類、損失類的貸款余額之和 | |
4、次級類貸款遷徙率 次級類貸款遷徙率=[期初次級類貸款向下遷徙金額/(期初次級類貸款余額-期初次級類貸款期間減少金額)]×100% 其中,期初次級類貸款向下遷徙金額,是指期初次級類貸款中,在報告期末分類為可疑類、損失類的貸款余額之和。期初次級類貸款期間減少金額,是指期初次級類貸款中,在報告期內,由于貸款正常收回、不良貸款處置或貸款核銷等原因而減少的貸款 | |
5、可疑類貸款遷徙率 可疑類貸款遷徙率=[期初可疑類貸款向下遷徙金額/(期初可疑類貸款余額期初可疑類貸款期間減少金額)]×100% 其中,期初可疑類貸款向下遷徙金額,是指期初可疑類貸款中,在報告期末分類為損失類的貸款余額。期初可疑類貸款期間減少金額,是指期初可疑類貸款中,在報告期內,由于貸款正常收回、不良貸款處置或貸款核銷等原因而減少的貸款 | |
五 | 預期損失率 |
預期損失率=(預期損失/資產風險暴露)×100% 預期損失是指信用風險損失分布的數學期望,代表大量貸款或交易組合在整個經濟周期內的平均損失,是商業銀行預計將會發生的損失 | |
六 | 撥備覆蓋率 |
即不良貸款撥備覆蓋率,是指貸款損失準備與不良貸款余額之比,即撥備覆蓋率=[(一般準備+專項準備+特種準備)/(次級類貸款+可疑類貸款+損失類貸款)]×100% | |
七 | 貸款撥備率 |
貸款撥備率是指貸款損失準備與各項貸款余額之比,即 貸款撥備率=[(一般準備+專項準備+特種準備)/各項貸款余額]×100%。貸款撥備率是巴塞爾委員會為應對貸款分類的周期性,引入的一個沒有風險敏感性的指標 | |
八 | 貸款損失準備充足率 |
貸款損失準備充足率=(貸款實際計提準備/貸款應提準備)×100% 貸款實際計提準備指商業銀行根據貸款預計損失而實際計提的準備 | |
九 | 單一(集團)客戶授信集中度 |
單一(集團)客戶貸款集中度=[最大一家(集團)客戶貸款總額/資本凈額]×100%。最大一家(集團)客戶貸款總額是指報告期末各項貸款余額最高的一家(集團)客戶的各項貸款的總額 | |
十 | 關聯授信比例 |
關聯授信比例=(全部關聯方授信總額/資本凈額)×100% 全部關聯方授信總額是指商業銀行全部關聯方的授信余額,扣除關聯方提供的保證金存款以及質押的銀行存單和我國中央政府債券。關聯方包括關聯自然人、法人或其他組織 |
2、信用風險預警體系
一 | 行業風險預警 |
1、行業環境風險因素 主要包括經濟周期因素、財政貨幣政策、國家產業政策、法律法規等方面 | |
2、行業經營風險因素 主要包括市場供求、產業成熟度、行業壟斷程度、產業依賴度、產品替代性、行業競爭主體的經營狀況、行業整體財務狀況,目的是預測目標行業的發展前景以及該行業中企業所面臨的共同風險。分析過程中應側重以下幾方面:行業市場風險、產業成熟度、行業壟斷程度、行業增長性與波動性、產業依賴度、行業產品(或服務)的可替代性、行業增長潛力分析等 | |
3、行業財務風險因素 對行業財務風險因素的分析要從行業財務數據的角度,把握行業的盈利能力、資本增值能力和資金營運能力,進而更深入地剖析行業發展中的潛在風險 行業財務風險分析指標體系主要包括凈資產收益率、行業盈虧系數、資本積累率、銷售利潤率、產品產銷率以及全員勞動生產率6項關鍵指標。在實操層面,主要關注的行業財務風險因素包括但不限于: ①行業凈資產收益率=(凈利潤/平均凈資產)×100% 該指標是衡量行業盈利能力最重要的指標,越高越好 ②行業盈虧系數=(行業內虧損企業個數/行業內全部企業個數)=行業內虧損企業虧損總額/(行業內虧損企業虧損總額+行業內盈利企業盈利總額) 該指標是衡量行業風險程度的關鍵指標,數值越低風險越小 ③資本積累率=(行業內企業年末所有者權益增長額總和/行業內年初企業所有者權益總和)×100% 該指標是評價目標行業發展潛力的重要指標,越高越好 ④行業銷售利潤率=(行業內企業銷售利潤總和/行業內企業銷售收入總和)×100% 該指標越高,說明行業產品附加值越高,市場競爭力越強,發展潛力越大 ⑤行業產品產銷率=(行業產品銷售量/行業產品產量)×100% 該指標越高,說明行業產品供不應求,現有市場規模還可進一步擴大 ⑥勞動生產率=[(截至當月累計工業增加值總額×12)/(行業職工平均人數×累計月數)]×100% 該指標在一定程度上反映出行業間的相對技術水平,該指標越高表明其生產技術越先進,單位員工產出越多 | |
④行業重大突發事件 當行業發生重大突發事件后,一般都會對行業中的企業以及相關行業中企業的正常生產經營造成影響 | |
二 | 區域風險預警 |
1、政策法規發生重大變化 某些政策法規發生重大變化,可能會直接影響地方經濟的發展方向、發展速度、競爭格局等,同時對區域內的企業也可能會產生不同程度的影響,從而引發區域風險 | |
2、區域經營環境出現惡化 關注區域的經濟發展狀況及發展趨勢,如地區生產總值增長率、地區生產總值占比、區域的開放程度、區域經濟的穩定和合理程度、區域產業集中度、區域企業競爭力、區域信用環境等 | |
3、當地分支機構內部出現風險因素 關注當地分支機構資產質量、管理班子、基層人員結構等異常變動和經營管理惡化情況,以及內外部審計、檢查發現的違規、違紀、違法等現象 | |
四 | 法人客戶風險預警 |
1、財務風險預警 沒有按時收到財務報表 客戶現金流狀況惡化 應收賬款數額或比率急劇增加,或收取過程顯著放慢 存貨周轉率放慢 出現陳舊存貨、大量存貨或不恰當存貨組合的證據 流動比率或速動比率大幅降低 固定資產劇烈變動 準備金大量增加 無形資產占比太高 流動負債或長期負債異常增加 較高的負債與所有者權益的比率 資產負債表結構發生重大變化 不合格的審計 會計師變化 銷售額不斷降低或迅速增加 銷售收入總額與銷售收入凈額之間出現巨大差異 不斷增加的成本以及逐漸減少的利潤率或不斷上升的營業損失 日常開支相對于銷售額出現不成比例的增長 總資產報酬率或總資產周轉率不斷降低 銀行存款余額不斷降低 過量的或未曾預見的票據延期 對固定資產或流動資產需求不良的財務規劃 對短期負債的嚴重依賴 季節性貸款申請的時間發生顯著變化 貸款申請規模或頻率急劇變化 | |
2、非財務風險預警 高管人員行為方式和個人習慣發生變化 高管人員婚姻發生變化 高管人員沒有履行個人義務 關鍵的人事變動 不能實現日程上的既定安排 在計劃方面表現出來無能 缺乏系統性和連續性的職能安排 公司業務發生改變 冒險參與企業并購、新項目投資、新區域開發或生產線啟動等投機活動 在回應低迷的市場或不景氣的經濟狀況時反應遲緩 缺乏可見的管理連續性 超出公司的管理和控制極限的過度增長 公司出現勞動力問題 無效率的廠房和設備布局 主要產品系列、特許權、分銷權或供貨來源喪失 喪失一個或數個財務狀況良好的大客戶 沒有及時更新或淘汰過時的或效率低下的廠房或設備 其他金融機構提供的風險信息 保險公司由于客戶沒有支付保險金而向其發出了保單注銷函 司法機構針對客戶作出判決 遇到突發事件 | |
五 | 自然人客戶風險預警 |
在金融機構的金融資產發生顯著變化(如代發工資停止,還款異常等) 出現嚴重行政處罰記錄(如行政拘留等)、刑事犯罪記錄、涉訴情況(人身關系、財產關系)、交通嚴重違規違章記錄 身體健康出現嚴重問題 銀行等出現不良貸款/信用記錄 在P2P平臺貸款違約 未及時繳納社保、納稅、公積金 工作單位破產/倒閉 與工作無關或收入不符的異常行為顯著增加 |
(三)信用風險報告
信用風險報告從用途上分,可分為內部報告和外部報告。其中,內部報告內容主要包括評價整體風險狀況,識別當期風險特征,分析重點風險因素,總結專項風險工作,配合內部審計檢查;外部報告的內容主要包括提供監管數據,反映管理情況,提出風險管理的措施建議等。在向外部提供風險分析報告的過程中,需要把握的重點就是規范操作。
四、信用風險控制與緩釋
(一)限額管理
限額管理的目的是確保所發生的風險總能被事先設定的風險資本加以覆蓋。在商業銀行的風險管理實踐中,限額管理包含兩個層面的主要內容:
限額的制定過程體現了金融機構董事會對損失的容忍程度,反映了金融機構在信用風險管理上的政策要求和風險資本抵御以及消化損失的能力。金融機構消化信用風險損失的方法首先是提取損失準備金或沖減利潤,在準備金不足以消化損失的情況下,金融機構只有使用資本來彌補損失。如果金融機構的資本不足以彌補損失,則將導致金融機構破產倒閉。因此,金融機構必須就資本所能抵御和消化損失的能力加以判斷和量化,利用經濟資本限額來制約信貸業務的規模,將信用風險控制在合理水平。
1、客戶風險限額管理
制定客戶限額需要考慮以下兩個方面的因素:
一 | 客戶的債務承受能力 |
判斷客戶的債務承受能力,即確定客戶的最高債務承受額 | |
二 | 金融機構的損失承受能力 |
金融機構通過分配至各個業務部門或分支機構的經濟資本在客戶層面上繼續分配的結果 |
2、區域風險限額管理
區域風險限額一般作為指導性的彈性限額,當某一地區受某些(政策、法規、自然災害、社會環境等)因素的影響,導致區域內經營環境惡化、區域內部經營管理水平下降、區域信貸資產質量惡化時,區域風險限額將被嚴格地、剛性地加以控制。
(二)組合限額管理
組合限額是債權資產組合層面的限額,是組合信用風險控制的重要手段之一。通過設定組合限額,可以防止信用風險過于集中在組合層面的某些方面(如過度集中于某行業、某地區、某些產品、某類客戶等),從而有效控制組合信用風險。組合限額可分為授信集中度限額和總體組合限額兩類。
1、集中度限額
集中度限額是指金融機構資本金、總資產或總體風險水平過于集中在下列某一類組合中:單一的交易對象;關聯的交易對象團體;特定的產業或經濟部門;某一區域;某一國家或經濟聯系緊密的一組國家;某一類產品;某一類交易對方類型(如商業銀行、教育機構或政府部門);同一類(高)風險/低信用質量級別的客戶;同一類抵押擔保;相同的授信期限。集中度限額可以按上述不同維度進行設定。其中,行業、產品、風險等級和擔保是最常用的組合限額設定維度。
就銀行而言,集中度管理主要集中在如下幾個方面:一是貸款集中度,《中華人民共和國商業銀行法》規定,商業銀行對同一借款人的貸款余額與商業銀行資本余額的比例不得超過10%;二是集團客戶授信集中度,《商業銀行集團客戶授信業務風險管理指引》指出,一家商業銀行對單一集團客戶授信余額(包括各類信用風險暴露)不得超過該商業銀行資本凈額的15%,否則將視為超過其風險承受能力。三是關聯方投信集中度,《商業銀行與內部人和股東關聯交易管理辦法》明確,商業銀行對一個關聯方的授信余額不得超過商業銀行資本凈額的10%;對一個關聯法人或其他組織所在集團客戶的授信余額總數不得超過商業銀行資本凈額的15%;對全部關聯方的授信余額不得超過商業銀行資本凈額的50%。四是同業客戶授信集中度。《關于規范金融機構同業業務的通知》指出,單家商業銀行對單一金融機構法人的不含結算性同業存款的同業融出資金,扣除風險權重為零的資產后的凈額,不得超過該銀行一級資本的50%。五是押品集中度。《商業銀行流動性風險管理辦法》(銀保監會令2018年第3號)要求商業銀行加強融資抵(質)押品等的集中度管理,適當設置集中度限額;《商業銀行押品管理指引》(銀監發[2017]16號)也明確提出:商業銀行應加強押品集中度管理,采取必要措施,防范因單一押品或單一種類押品占比過高產生的風險。六是行業集中度。《關于建立銀行業金融機構房地產貸款集中度管理制度的通知》要求,為增強銀行業金融機構抵御房地產市場波動的能力,防范金融體系中房地產貸款過度集中帶來的潛在系統性金融風險,提高銀行業金融機構穩健性,銀行業金融機構(不含境外分行)房地產貸款余額占該機構人民幣各項貸款余額的比例和個人住房貸款余額占該機構人民幣各項貸款余額的比例不得高于人民銀行、銀保監會規定的上限。具體上限要求由人民銀行、銀保監會根據銀行業金融機構資產規模及機構類型,分檔核定,并綜合考慮銀行業金融機構的規模發展、房地產系統性金融風險表現等因素,適時調整適用機構覆蓋范圍、分檔設置、管理要求和相關指標的統計口徑。
大額風險暴露管理上,銀保監會發布《商業銀行大額風險暴露管理辦法》,將大額風險暴露管理納入全面風險管理體系,建立完善與業務規模及復雜程度相適應的組織架構、管理制度、信息系統等,有效識別、計量、監測和防控大額風險。商業銀行對客戶的風險暴露包括因各項貸款、投資債券、存放同業、拆放同業、買入返售資產等表內授信形成的一般風險暴露;因投資資產管理產品或資產證券化產品形成的特定風險暴露;因債券、股票及其衍生工具交易形成的交易賬簿風險暴露;因場外衍生工具、證券融資交易形成的交易對手信用風險暴露;因擔保、承諾等表外項目形成的潛在風險暴露;其他風險暴露等。在監管指標要求上,商業銀行對非同業單一客戶的貸款余額不得超過資本凈額的10%,對非同業單一客戶的風險暴露不得超過一級資本凈額的15%;對一組非同業關聯客戶的風險暴露不得超過一級資本凈額的20%;對同業單一客戶或集團客戶的風險暴露不得超過一級資本凈額的25%;全球系統重要性銀行對另一家全球系統重要性銀行的風險暴露不得超過一級資本凈額的15%,部分特殊風險暴露不受上述限制。
2、總體組合限額
總體組合限額是在分別計量債項、投資、交易和表外風險等不同大類組合限額的基礎上計算得出的。金融機構可以采用自下而上的方式設定每個維度(如行業)的限額,并利用壓力測試判斷是否有足夠的資本彌補極端情況下的損失;如果金融機構資本不足,則應根據情況調整每個維度的限額,使經濟資本能夠彌補信用風險暴露可能引致的損失;最后將各維度的限額相加得出金融機構整體組合限額。
組合限額一旦被明確下來,就必須嚴格遵守并得到良好維護。組合限額維護的主任務是確定組合限額的合理性以及在組合限額超過臨界值的情況下的處理。
(三)流程化管理
業務流程應當結構清晰、職能明確,在業務處理過程中做到關鍵崗位相互分離、相互協調、相互制約,同時滿足業務發展和風險管理的需要:
一 | 層級化管理 |
1、給予每一交易對方的信用須得到一定權力層次的批準 2、集團內所有機構在進行信用決策時應遵循一致的標準 3、債項的每一個重要改變(如主要條款、抵押結構及主要合同)應得到一定權力層次的批準 4、交易對方風險限額的確定和對單一信用風險暴露的管理應符合組合的統一指導及信用政策,每一決策都應建立在風險-收益分析基礎之上 | |
二 | 資產定價 |
資產最低定價=(資金成本+經營成本+風險成本+資本成本)/債權總額 其中,資金成本包括債務成本和股權/其他成本;經營成本包括日常管理成本和稅收成本;風險成本指預期損失和非預期損失,預期損失=違約概率×違約損失率×違約風險暴露;資本成本主要是指用來覆蓋該筆債項的信用風險所需經濟資本的成本,在數值上等于經濟資本與股東最低資本回報率的乘積 資產定價不僅受到客戶風險的額影響,還受到金融機構當前資產組合結構的影響,當債權在放入資產組合后將會改變組合的整體風險,一般情況下,金融機構所確定的定價必須被視為剛性的,只有在例外的情形下才可以偏離這一定價 | |
三 | 業務審批 |
業務審批是在投前調查和分析的基礎上,由獲得授權的審批人在規定的限額內,結合交易對方或融資人的風險評級,對其信用風險暴露進行詳細的評估之后作出決策的過程。在評估過程中,既要考慮客戶的信用等級,又要考慮具體債項的風險 | |
四 | 存續期管理 |
從業務發生之日起到債權本息收回或信用結束之時止管理行為的總稱,內容主要包括批復后審核、資金監控、日常檢查、擔保管理、風險分類、到期管理、考核與激勵及業務檔案管理等。金融機構大都從以下幾個方面提升存續期管理的質量和效率: 一是建立并完善存續期管理制度體系。有機整合客戶維度和產品維度的存續期管理規章制度和操作規程,形成完善的制度體系;結合業務特點明確制定差異化存續期檢查流程和內容,并根據不同產品風險特征和審批要求,制定標準化的檢查要點和模板 二是優化崗位設置、明晰管理責任。例如,設立單獨的債權管理單元,獨立開展存續期管理和風險防控工作,設置存續期管理崗,整合存續期管理職能,專司監督檢查是否按照要求完成存續期管理各項規定動作,核查存續期檢查記錄和結論是否恰當,以及對檢查發現或內外部信息披露存在風險信號進行跟蹤管理,并不定期深入債務人企業,對檢查結論和客戶風險進行實地核查 三是強化存續期激勵約束考核。在經營績效考核指標體系中增加存續期過程管理的量化評價考核指標,提升管理水平;增加風險薪酬考核比重,按照“盡職免責”的考核原則核算風險績效,提高存續期工作的積極性;對存續期管理工作設置明確的量化考核指標,將存續期管理崗績效適當與經營業績掛鉤,提高積極性和責任感 四是加強存續期管理與業務審批環節的銜接。一方面,建立聯動機制,將存續期管理資料、檢查報告納入增量業務的申報資料中,利用審批審查機制對存續期工作質量進行審核校驗,以此有效提高存續期管理工作執行力和檢查報告質量;另一方面,建立存續期管理與業務經營的聯動機制,根據存續期檢查和內外部審計發現問題,通過控制資金支用、限制業務準入等方式,督促完成風險事項整改,及時消除風險隱患 | |
五 | 風險緩釋 |
根據業務特點,建立信用風險緩釋制度、政策和程序,定期對風險緩釋措施有效性進行評估 重點評估抵(質)押權益的真實性、合法性和可實現性,抵(質)押物價值評估的審慎性,以及抵(質)押檔案的完備性和合同條款的嚴密性 根據抵(質)押物的類別和性質,科學確定抵(質)押物價值重估的頻率,定期進行重估,當抵(質)押物價值變動嚴重影響風險緩釋有效性時,要及時采取有效措施 對風險緩釋措施有效性進行評估時,應充分考慮宏觀經濟、金融市場及關聯產業波動的影響 計算客戶風險暴露時,應考慮合格質物質押或合格保證主體提供保證的風險緩釋作用,從客戶風險暴露中扣減被緩釋部分 |
五、損失準備金與不良資產處置
(一)損失準備
金融機構應按照審慎的原則,合理估計債權可能發生的損失,及時計提損失準備。如銀行類金融機構,損失準備的計提即為“撥備”,銀行類金融機構的撥備一般包括一般準備(按季計提一般準備,一般準備年末余額應不低于年末貸款余額的1%)、專項準備(對于關注類貸款,計提比例為2%;對于次級類貸款,計提比例為25%;對于可疑類貸款,計提比例為50%;對于損失類貸款,計提比例為100%。次級及可疑類貸款的損失準備,計提比例可以上下浮動20%);特種準備(銀行根據不同類別貸款的特殊風險,風險損失概率及歷史經驗,自行確定按季計提比例)。
金融機構應結合經濟發展的不同階段,債權的質量差異和盈利能力的不同,對損失準備進行動態化和差異化的調整:經濟上行期適度提高損失準備要求,經濟下行期根據資產情況適度調低。
(二)不良債權處置
不良債權處置手段主要包括催收、債務重組、不良資產轉讓、不良資產證券化、債轉股等:
1、催收
催收是指利用各種非訴手段,敦促承擔債務清償責任的一方償還相應債務的清收方式,具體包括協商還款,電話催收,媒體公告催收和信函催收等。

2、法律追索
即通過民事訴訟、民商事仲裁、民事督促(支付令)、執行公證債權文書、直接向法院申請實現擔保物權的方式,確立債權的合法性,依靠強制程序收回債權的清收處置方式。其中,訴訟流程較為復雜,主要如下圖所示:

3、處置抵押物
處置抵押物是在債權債務屆滿時,因債務人原因導致債權人債權并未實現,債權人債務人通過協商或向法院等司法機構申請,借助司法途徑對抵押物進行變現,并將變現所得優先用于清償債權人債務。其基本流程如下圖:

4、債務重組
債務重組是針對出現流動性困難的企業,不良資產經營機構分別與債權人、債務人就還款金額、還款方式、還款時間等債權債務問題達成協議,通過更改債務條款,實行債務合并的方式,優化該類企業的資產負債結構、盤活企業不良資產,幫助企業渡過財務危機的一種不良資產經營模式,其基本業務流程如下圖:

5、破產重整
針對明顯喪失清償能力,難以清償到期債務且資產不足以清償其全部債務的,根據《企業破產法》有關規定,債權人可向人民法院提出破產重整實現退出,其具體的業務模式如下圖:

6、不良債權轉讓
不良資產轉讓業務系銀行、信托公司等金融機構依據《金融企業不良資產批量轉讓管理辦法》(財金[2012]6號)規定,將自身持有的金融不良資產通過組包(根據《關于公布云南省、福建省等地方資產管理公司名單的通知》(銀監辦便函[2017]702號)等監管規定,3戶以上為批量)方式轉讓給不良資產經營機構,實現不良資產的核銷。

7、不良資產證券化
不良資產證券化產品是將不良債權資產進行包裝組合,并以此為基礎發行可交易證券的一種融資形式。不良資產證券化系由不良債權持有者將債權轉讓給SPV/SPT,由其將資產匯集成資產池,再以該資產池所產生的現金流為支撐在金融市場上發行有價證券進行融資,并以該資產池產生的現金流來清償所發行的有價證券。其業務模式基本如下圖:

8、債轉股
債轉股即通過以股抵債等方式獲得企業不良資產,隨后通過改善企業經營模式逐步提升企業資產價值,最終通過資產置換、并購、重組和上市方式等退出,實現債轉股資產增值。其基本模式如下:

注:文章為作者獨立觀點,不代表資產界立場。
題圖來自 Pexels,基于 CC0 協議
本文由“負險不彬”投稿資產界,并經資產界編輯發布。版權歸原作者所有,未經授權,請勿轉載,謝謝!

負險不彬 













